
광주지역 유통 농산물 잔류농약 안전성 평가
; 문수진1 ; 이다빈 ; 양용식 ; 김여경1 ; 김혜진1 ; 정혜진 ; 김진영 ; 박수정 ; 기혜영 ; 이향희 ; 박정희 ; 박혜민 ; 김아윤 ; 이재린 ; 김도우 ; 송영선 ; 서진종 ; 김진희
; Sujin Mun1 ; Davin Lee ; Yongshik Yang ; Yeo Kyung Kim1 ; Hye Jin Kim1 ; Hye Jin Jeong ; Jinyeong Kim ; Su Jung Park ; Hye Young Kee ; Hyang Hee Lee ; Jeonghee Park ; Hye Min Park ; A Yoon Kim ; Jae Rin Lee ; Do Woo Kim ; Yeong Seon Song ; Jinjong Seo ; Jinhee Kim
초록
본 연구는 광주지역 유통 농산물을 대상으로 시험법 및 중점검사항목 개정 전, 후의 잔류농약 모니터링 결과를 비교하고 부적합 농산물로 인한 잠재적인 건강 위해성을 평가하기 위하여 수행되었다. 2020년부터 2022년까지 광주지역에 유통된 농산물 총 12,817건을 대상으로 식품의약품안전처의 다종농약다성분 분석법에 따라 전처리한 후 LC-MS/MS와 GC-MS/MS를 이용하여 311종(2020년 1월 ~ 2021년 9월)과 340종(2021년 10월 ~ 2022년 12월)의 농약을 분석하였다. 잔류농약 검출률 및 최대 잔류허용기준(MRL)을 초과한 부적합률은 2020년 45.8% (1.0%), 2021년 47.1% (1.4%), 2022년 54.2% (2.8%)로 매년 증가하였다. 시험법 및 검사항목 개정 후의 잔류농약 검출률 및 부적합률은 45.7% (1.2%)에서 53.9% (2.6%)로 증가하였다. 부적합 농산물은 주로 엽채류와 엽경채류였으며, 3년 동안 부적합 빈도가 가장 높은 품목은 쑥갓이었다. 최근 3년간 다항목 동시 검출률은 지속적으로 증가한 것으로 확인되었다(51.2%, 51.6%, 64.0%). 연도별 잔류허용기준을 가장 많이 초과한 농약성분은 diazinon (10건), fluopyram (12건), dinotefuran (14건)이었다. 부적합 농산물에 대한 위해성 평가 결과를 근거로 판단하였을때 모든 부적합 농산물에서 위해지수가 100% 이하로 나타나 안전한 수준으로 확인되었다.
Abstract
The purpose of this study was to compare the results of analysis of residual pesticides according to changes in the test method and principal items for residual pesticides and to evaluate potential risks to human health from contaminated agricultural products in Gwangju. GC-MS/MS and LC-MS/MS were performed on 12,817 samples collected from 2020 to 2022 and analysis for 311 (from Jan 2020 to Sept 2021) and 340 (from Oct 2021 to Dec 2022) pesticides was performed using multi-residue methods included in the Korean Food Code. The detection rates and violation rates that exceeded the maximum residue limit (MRL) showed a steady increase to 45.8% (1.0%) in 2020, 47.1% (1.4%) in 2021, and 54.2% (2.8%) in 2022. Following the revision of the test method and principal items, the detection rates and violation rates increased from 45.7% (1.2%) to 53.9% (2.6%). The contaminated agricultural products mainly included leafy vegetables and stalk and stem vegetables, and crown daisy was the most contaminated agricultural product over a period of three years. A continual increase in the rates of multi-residue pesticides detected has been observed over the past three years (51.2%, 51.6%, and 64.0%). Diazinon (10), Fluopyram (12), and Dinotefuran (14) were the pesticides detected most frequently by year. The results of risk assessment showed that the hazard index was below 100% for the contaminated agricultural products, which was confirmed as a safe level.
Keywords:
Agricultural products, Pesticide residues, Risk assessment, Gwangju키워드:
농산물, 잔류농약, 위해성 평가, 광주서 론
우리 사회가 발전함에 따라 건강에 대한 관심이 높아지고 있으며 이와 더불어 식재료의 안전성에 대한 인식도 높아지고 있다. 하지만 농작물의 경우 잔류농약 위해성에 대한 우려에도 불구하고, 병해충으로 인한 피해를 감소시켜 생산량을 보장하고 농작물의 품질을 유지하기 위해 광범위하게 농약이 사용되고 있다. 만약 농약을 사용하지 않을 경우, 농작물의 생산량은 20~75%까지 낮아지게 되며 더 많은 노동력과 경작지가 요구되므로 농업 현장에서 농약 사용은 부득이하게 이루어지고 있다(Darby, 1964; Chung et al., 2014; Kim et al., 2022a). 뿐만 아니라, 기후변화로 인한 농업환경의 다변화는 이 같은 농약 사용을 더욱 불가피하게 만들고 있다.
그러나 과도한 농약의 사용은 농작물과 토양 등에 축적되어 생태계와 공중보건에 심각한 문제를 야기할 수 있다(Kalyabina et al., 2021). 따라서 농산물의 잔류농약 안전성을 확보하기 위해서는 농약 사용에 대한 엄격한 관리가 요구된다. 이에 우리나라에서는 농산물의 안전관리를 위해 2019년 1월부터 모든 농산물에 농약 허용물질목록관리제도(Positive List System, PLS)를 확대 적용(식품의약품안전처 고시 제2018-8호)하였고 2021년 10월부터는 잔류농약 시험법을 개정(식품의약품안전처 고시 제2021-26호)하고 중점검사항목을 추가 적용하여 시행하는 등 안전한 농산물 유통을 위해 적극적으로 관리하고 있다. 그럼에도 불구하고 매년 많은 농산물에서 식품의약품안전처에서 규정한 잔류농약 허용 기준을 초과하는 경우가 선행연구들을 통해 보고되고 있다(Yeo et al., 2021; Kim et al., 2022b, Kim et al., 2022c). 하지만, 광주지역 유통 농산물에 대한 잔류농약검사 시험법 및 검사항목 개정 전, 후를 비교한 연구는 제한적으로 이루어지고 있는 실정이다.
이에 본 연구에서는 2020년부터 2022년까지 광주지역 유통 농산물을 대상으로 시험법 및 중점검사항목 개정 전, 후의 잔류농약 모니터링 결과를 비교·분석하고 잔류농약 기준치 초과 농산물에 대한 위해도 평가를 통해 광주지역 유통 농산물의 안전성 추이를 확인하고자 하였다.
재료 및 방법
농산물 시료
본 연구에 사용된 농산물은 2020년 1월부터 2022년 12월까지 광주광역시 각화동농산물도매시장, 서부농수산물도매시장, 대형마트 및 로컬푸드에서 유통된 농산물 총 12,817건을 대상으로 하였다.
잔류농약 분석항목 및 시약
2020년 1월 부터 2021년 9월까지의 분석 대상 항목은 식품공전 다종농약다성분 분석법 제2법으로 동시분석 가능한 성분 중 광주보건환경연구원에서 선정한 311종을 분석에 이용하였다. 2021년 10월 부터의 분석대상 항목은 개정된 다성분 시험법 제2법(식품의약품안전처 고시 제2021-26호)에 따라 동시 분석가능한 항목 가운데 본 연구원에서 기존의 311종에서 검출빈도가 낮은 113종을 제외하고 142종을 새롭게 추가하여 340종을 분석에 사용하였다(Table 1).
표준품은 Accustandard (New Heaven, USA)와 Kemidas (Suwon, Korea)를 사용하였다. 시험법 개정 전인 다종농약 다성분 분석법(제2법)에는 Merk (Darmstadt, Germany)의 acetonitrile, acetone, n-hexane, dichloromethane, sodium chloride 제품을 사용하였다. 2021년 10월부터 시행된 다성분 시험법(제2법)에 따른 농약 추출 및 정제를 위해 CHROMAtific (Heidenrod, Germany)의 QuEChERS Kit를 이용하였다. 추출 단계에서는QuEChERS Extraction Salt Kit (4 g MgSO4, 1 g NaCl, 0.5 g Na2HCitrate, 1 g Na3 Citrate)를 사용하였으며, 정제 단계에서는 QuEChERS dispersive solid phase extraction (d-SPE) clean-up Kit (150 mg MgSO4, 25 mg PSA)를 사용하였다. Syring filter는 polytetrafluoroethylene (PTFE) 재질의 1 3 mm , 0.2 μm 규격인 Whatman (Dassel, Germany) 제품을 사용하였다. 잔류농약 분석에 사용한 용매는 Merk (Darmstadt, Germany)의 Water, Methanol (gradient grade for liquid chromatography), ammonium phosphate (Sigma Aldrich, USA and Canada), formic acid는 FUJIFILM Wako Pure Chemical Corporation (Osaka, Japan)을 실험에 사용하였다.
분석방법 및 분석기기
시료의 전처리 및 분석방법은 식품공전 일반시험법의 다성분시험법 제2법(2020년 ~ 2021년 9월) (MFDS, 2019)과 개정된 다성분시험법 제2법(2021년 10월 이후) (MFDS, 2022)을 적용하여 GC-MS/MS (Agilent 7000D GC/TQ, USA)와 LC-MS/MS (AB Sciex QTRAP 4500, USA)로 동시 분석하였으며, 각각의 조건은 Table 2, 3과 같다.
농약잔류허용기준 적용방법
농산물 중 검출된 잔류농약은 식품의약품안전처에 고시된 식품의 기준 및 규격에 따라 식품 중 농약 잔류허용기준을 적용하였고, 별도로 잔류허용기준을 정하지 않은 경우에는 PLS (Positive list system) 기준(0.01 mg/kg)을 적용하여 판정하였다.
유효성 검증
분석방법에 대한 유효성 검증은 유통 농산물에서 부적합으로 판정된 농약 성분을 대상으로 식품공전 잔류농약 분석법 실무 해설서(NIFDS, 2023)에 따라 실시하였다. 회수율은 잔류농약 불검출 시금치 시료에 농약 인증표준물질을 0.01, 0.05, 0.1 mg/kg로 처리한 후, 3회 반복 시험하여 측정하였다. 검량선의 직선성은 결정계수(Coefficient of determination, R2)로 확인하였으며, 검출한계(Limit of detection, LOD)와 정량한계(Limit of quantification, LOQ)는 국제의약품규제조화위원회(International Council for Harmonization of Technical Requirements for Pharmaceuticals for Human Use, IHC)에서 제시한 산출방법에 따라 계산하였다.
LOD = 3.3σ / S
LOQ = 10σ / S
σ = The standard deviation of response
S = The slope of the calibration curve
위해성평가
농산물의 위해성평가는 식품의약품안전처의 인체적용제품 위해성평가 공통지침서를 참고하여 농약 잔류허용기준을 초과한 농산물을 대상으로 일일섭취허용량(Accetable daily intake, ADI)과 일일섭취추정량(Estimated daily intake, EDI)을 이용하여 위해지수(Hazard Index, HI, %ADI)를 계산하였다(MFDS, 2023a). 농산물의 일일평균섭취량은 2020년 국민영양통계자료(KHIDI, 2021)를 이용하였으며, 일일평균 섭취량이 0 g/day로 확인된 당귀잎과 세발나물은 2021년 식품섭취량 자료(KHDI, 2022)를 활용하였다. 우리나라 성인의 평균체중은 2021년도 통계청에서 발표한 66.55 kg를 적용하였다(KOSIS, 2021). 일일섭취허용량(ADI)은 식품의약품안전처의 잔류물질정보자료를 사용하였다(MFDS, 2023b).
EDI = detected concentration (mg/kg) × food daily intake (g/day) / 66.55 (kg) / 1000
%ADI = (EDI / ADI) × 100
결과 및 고찰
유효성 검증
시험법에 대한 유효성 검증은 잔류농약 기준치를 초과했던 농약성분을 대상으로 시행하였다(Table 4, 5). LC-MS/MS로 측정한 농약성분들의 경우, 검량선의 결정계수(R2)는 0.9909-0.9990였으며, LOD는 0.001-0.007, LOQ는 0.002-0.021로 나타났다. 0.01 mg/kg 농도에서 회수율은 75.5 ± 2.3-96.3 ± 1.4% 범위로 나타났다. 0.05 mg/kg 농도에서의 회수율은 78.9 ± 2.6-103.9 ± 13.2% 범위 였으며, 0.1 mg/kg 농도에서의 회수율은 82.8 ± 1.2-103.1 ± 1.9% 범위였다. GCMS/MS로 분석 가능한 성분들의 검량선의 결정계수(R2)는 0.9956-0.9998였으며, LOD는 0.001-0.006, LOQ는 0.002-0.017 이었다. 0.01 mg/kg 농도의 회수율 범위는 83.0 ± 6.9-117.0 ± 1.1%였으며, 0.05 mg/kg의 회수율 범위는 85.4 ± 1.5-117.8 ± 4.4%였다. 0.1 mg/kg 농도의 회수율 범위는 85.6. ± 1.4-113.4 ± 1.0%로 확인되었다. 식품공전 잔류농약 분석법 실무해설서에서 0.01 mg/kg 초과 0 .1 m g/kg 이하의 농도의 경우, 회수율의 허용범위는 70-120%, 분석오차는 20% 이하로 제시되어 있다(NIFDS, 2023). 따라서 본 연구의 분석조건은 농산물 잔류농약 검사에 적합한 것으로 생각된다.
연도별 잔류농약 검출 및 부적합 결과
최근 3년간 광주지역에 유통된 농산물 총 12,817건에 대해 실시한 잔류농약 안전성 검사결과, 잔류농약 검출률과 부적합률은 2020년 45.8% (1.0%), 2021년 47.1% (1.4%), 2022년 54.2% (2.8%)로 매년 증가 추세를 보였다(Fig. 1).
또한, 시험법 및 검사항목 개정 전(2020년 1월~2021년 9월) 잔류농약 검출률과 부적합률은 45.7% (1.2%)였던 것에 비해 개정 후(2021년 10월~2022년 12월)에는 검출률과 부적합률이 53.9% (2.6%)로 증가된 것으로 분석되었다(Fig. 2). 시험법 및 검사항목 개정 전후를 비교한 선행연구가 보고된 바 없어 그 차이를 비교하기에는 어려움이 있다. 2021년 10월부터 잔류농약 안전관리 및 효율성 강화 목적으로 개정된 시험법과 더불어 본 연구에서는 검사항목을 311종에서 340종으로 확대하여 농산물 중 잔류농약 안전성 조사를 실시하였다. 개정된 시험법에 적용된 QuEChERS법은 명칭 그대로 간편하고 쉬운 전처리 기술로 전처리 시간을 단축시켜 신속한 검사를 할 수 있도록 하여 부적합 발생 시 후속처리가 지연되는 것을 방지하는데 많은 도움을 준 것으로 보인다. 따라서, 본 연구의 검출률 및 부적합률의 증가는 기후변화에 따른 빈번한 농약 사용과 더불어 잔류농약 안전관리 강화 목적으로 2021년 10월부터 실시된 잔류농약 검사항목 확대에 기인한 것으로 보인다.
연도별 농산물 분류에 따른 잔류농약 분석 결과
지난 3년간 농산물 분류에 따른 잔류농약 검출률을 살펴보면, 허브류 100.0% (2건), 과일류 65.7% (255건), 채소류52.5% (5,992건), 두류 11.3% (7건), 서류 5.2% (14건), 버섯 2.5% (15건) 순이었으며, 곡류(82건)에서는 잔류농약이 검출되지 않았다(Table 6). 2014~2017년 광주지역내 도매시장 반입 농산물의 잔류농약 검출률을 분석한 선행연구에서도 엽채류, 엽경채류, 과채류, 과일류 순으로 검출률이 높다고 보고하여 본 연구결과와 유사하였다(Yang et al., 2017). Park 등의 연구에 따르면, 2019년부터 2021년까지 인천지역 유통 농산물 중 부적합 빈도가 가장 높은 것은 고수(잎)으로 분석되었는데, 이는 2020년 향신식물 분류가 신설된 이후에도 허브류 재배농가의 지속적인 농약 사용의 문제점 때문으로 평가하였다(Park et al., 2022b). 본 연구에서는 2021년 고수(잎) 2건의 검출률이 100.0%로 조사되어 시료 수가 적어 결과를 비교하기에 어려움이 있지만, 타지역에서 부적합률이 높은만큼 광주지역에서도 허브류에 대한 지속적인 모니터링이 필요할 것으로 판단된다.
최근 3년간 잔류농약 기준치를 초과한 부적합 농산물은 채소류가 2.0% (224건)로 나타났으며 이를 세부적으로 살펴보면, 엽채류 2.5% (160건), 엽경채류 2.4% (51건), 박과과채류 0.6% (6건), 박과 이외 과채류 0.6% (6건), 근채류 0.2% (1건) 순으로 분석되었다(Table 6). 연도별 부적합 농산물은 2020년 28품목, 2021년 27품목, 2022년 35품목이었으며, 2022년에는 더 다양한 농산물 품목에서 부적합이 발생한 것으로 확인되었다(Table 7). 잔류농약 기준치를 초과한 농산물은 주로 엽채류나 엽경채류 였으며, 특히 쑥갓은 3년 연속으로 부적합 건수가 가장 많은 것으로 나타났다(Table 7). 이 같은 결과는 Yang 등의 광주지역 유통 농산물의 잔류농약 모니터링 결과에서도 엽채류와 엽경채류에서 부적합 비중이 높았다는 내용과 일치한다(Yang et al., 2017). 그 밖에, 다른 지역 유통 농산물의 잔류농약 실태를 분석한 여러 선행연구에서도 엽채류와 엽경채류에서 부적합 발생률이 높은 것으로 보고되고 있다(Song et al., 2021; Park et al., 2022b). 엽채류에서 부적합률이 높은 것은 생산단계에서 병해충 방제를 위한 잦은 농약 사용과 표면적이 넓은 엽채류 잎의 특성상 살포된 농약이 부착되어 잔존하기 때문으로 생각된다(Yi et al., 2020; Park et al., 2020). 특히, 쑥갓은 우리나라 전역에서 시설재배하는 한해살이 작물로써 봄과 가을 연 2회 수확이 가능하고(Song et al., 2022) 잎의 표면이 거칠고 털이 많은 작물의 부착특성(Nam et al., 2007; Park et al., 2009; Hwang et al., 2017)으로 인해 본 연구에서 부적합 빈도가 3년 내내 가장 높았던 것으로 판단된다. 해마다 부적합 농산물이 증가하고 있는 만큼, 영농현장에서 작물보호제 지침서에 대한 교육을 통해 농산물 중 잔류허용기준을 준수하도록 철저한 교육이 이루어져야 할 것으로 판단된다.
연도별 잔류농약 다항목 동시 검출 및 부적합 결과
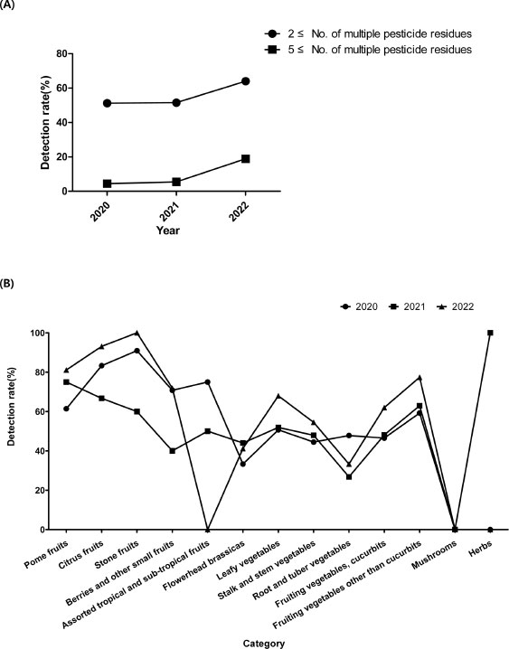
최근 3년간 잔류농약 검출된 농산물 중 2항목 이상 검출률은 2020년 51.2%, 2021년 51.6%, 2022년 64.0%였으며, 5항목 이상 검출률은 2020년 4.4%, 2021년 5.5%, 2022년 18.9%로 매년 증가하는 양상을 보였다(Fig. 3A). 특히, 2022년에는 과일류(인과류, 감귤류, 핵과류, 장과류)와 채소류(엽채류, 엽경채류, 박과 과채류, 박과 이외 과채류)의 경우 다항목 동시 검출률이 2020년과 2021년에 비해 높은 것으로 분석되었다(Fig. 3B). 2019년 인천지역 유통 농산물 960건의 잔류농약을 모니터링한 결과 2항목 이상 잔류농약검출률은 0.8%, 3항목 검출률은 0.1%로 본 연구의 결과보다 다소 낮은 수치를 나타내었다(Park et al., 2022a). 2022년 부산지역 유통 과일류의 잔류농약 실태를 분석한 연구에 따르면, 대부분의 농산물에서 2종 이상의 농약이 검출되었으며, 사과의 경우 최대 18종, 복숭아에서는 최대 12종이 농약이 동시 검출됐다고 보고하였다(Kim et al., 2023). Yang et al. (2017)은 농산물 중 다항목 동시 검출은 다양한 병원균과 해충을 동시에 방제하기 위해 살균제와 살충제를 혼합하여 사용하는 것에 기인한다고 보았다. 다항목 동시 검출에 대한 선행연구가 제한적으로 이루어지고 있어 결과 비교에는 어려움이 있으나 광주지역에 대한 본 연구결과 다항목동시 검출은 매년 증가하고 있으며, 특히 잔류농약 검출률과 부적합률이 높은 과일류와 채소류에서 검출률이 높아 지속적인 모니터링을 통한 감시가 필요할 것으로 판단된다. 또한, 단일성분에 비해 다항목 동시 검출의 경우 잔류농약성분간의 상호작용으로 인해 인체에 미치는 위해성을 판정하는데 어려움이 있으며 이를 평가한 선행연구도 부족한 상황이다. 따라서, 다항목 동시검출에 따른 위해성을 예측하기 위한 평가방법의 개발이 필요할 것으로 생각된다.
연도별 잔류농약 항목 검출 결과
2020년부터 2022년까지 광주지역 유통 농산물 중 잔류농약 검출빈도가 높았던 연도별 상위 5종 농약성분은 Table 8과 같다. 2020년에는 chlorfenapyr 290건, fluopyram 284건, thiamethoxam 222건, pyridalyl 204건, chlorantraniliprole 201건 순으로 많이 검출되었다. 2021년은 fluopyram 256건, chlorfenapyr 238건, fludioxonil 227건, chlorantraniliprole 209건, azoxystrobin 188건으로 분석되었다. 2022년의 경우에는 dinotefuran 517건, chlorfenapyr 310건, fluxametamide 279건, flonicamid 245건, chlorantraniliprole 212건 순으로 확인되었다. 본 연구 결과 최근 3년간 잔류농약 검출 건수에서 상위권을 차지하고 있던 농약들은 주로 살균제와 살충제 성분으로 각종 농산물에 광범위하게 사용되고 있으므로 지속적인 모니터링을 통한 감시가 필요할 것으로 생각된다.
최근 3년간 농산물 중 잔류농약 기준치를 초과한 것으로 확인된 농약성분은 2020년 28항목, 2021년 39항목, 2022년에는 53항목으로 매년 증가하는 것으로 나타났다(Table 9). 연도별 잔류농약 부적합 항목 상위 5순위 분석결과, 2020년에는 diazinon (10회), fluopyram (9회), procymidone (8회), diniconazole (7회), ethoprophos (6회) 순으로 확인되었다(Table 10). 2020년 가장 높은 빈도로 잔류농약허용기준을 초과하여 검출된 농약성분은 diazinon으로 그중 7건은 PLS 기준치를 초과한 것으로 확인되었다. Park et al. (2022b)과 Song et al. (2021)의 연구에서도 diazinon이 2020년 유통 농산물에서 가장 높은 부적합 발생빈도를 나타내 본 연구와 일치하였다. diazinon은 비선택성 유기인계 살충제로 해충의 방제목적으로 광범위하게 사용되고 있지만, 실제 살포가 가능한 작물의 수가 한정적이고 농산물 중 잔류허용기준도 0.02~0.3 mg/kg로 다른 농약에 비해 낮은 편이다(Park et al., 2022b). 2019년 PLS 전면시행에도 불구하고 농업현장에서 diazinon을 통상적으로 사용함에 따라 부적합 검출빈도가 높아졌을 것으로 생각된다. 따라서 대체 농약 안내 및 미등록 작물에 대한 살포 금지 등 현장에서의 적극적인 관리와 감독이 요구된다.
2021년에는 fluopyram (12회), fluxametamide (7회), flubendiamide·procymidone (6회), chlorpyrifos·fenitrothion·pyridaben (5회), chlorothalonil (4회) 순서로 높은 빈도를 보였다(Table 10). 2021년 부적합 상위 1순위 성분인 fluopyram은 succinated dehydrogenase 효소 저해제로 살균효과를 보여 잔류허용기준이 등록되어 사용되고 있는 benzamide계살균제이다(Faske T and Hurd K, 2015; Park et al., 2019). 본 분석에서 2021년 fluopyram에 의한 부적합 빈도는 12회로 2022년 2회에 비해 많이 낮아졌는데(Table 9, 10), 이는 해당 성분의 농약안전사용기준에 대한 안내가 현장에서 잘 이루어진 것으로 보인다. 하지만, 여전히 fluopyram 성분이 잔류농약허용 기준을 초과되고 있는 만큼 지속적인 관리가 필요할 것으로 생각된다.
2022년은 부적합으로 확인된 성분은 dinotefuran (14회), terbufos (10회), phorate (9회), fluxametamide·pendimethalin (8회), diniconazole (6회) 순으로 조사되었다(Table 10). dinotefuran은 2021년 10월 이후 새롭게 추가된 분석항목으로서 2022년 한해 동안 14회로 가장 높은 부적합 건수를 보였으며, 그중 10건이 PLS 적용 농산물에서 검출되었다. dinotefuran은 침투이행성이 높아 채소류와 과일류에 발생하는 해충의 방제를 위해 사용하는 neonicotinoid계 살충제로 농산물에 0.05~30 mg/kg의 잔류허용기준이 설정되어 사용되고 있다(MFDS, 2023c). 또한, dinotefuran은 기존의 유기인계나 카바메이트계 등과 같은 살충제에 저항성을 갖는 해충에도 살충효과가 좋아 다양한 작물에 사용 가능한 성분이다(Han et al., 2018). 이같이 범용적으로 사용 가능한 dinotefuran이 PLS 적용 농산물에서 많이 검출된다는 것은 실제 농업현장에서 dinotefuran의 오남용이 많이 이루어지고 있는 것으로 보인다. 이를 방지하기 위해서는 재배농가에서 작물보호제 지침서를 반드시 준수할 수 있도록 적극적인 교육과 홍보가 필요하다고 생각된다.
그리고 2021년 10월 이후 본 연구의 분석항목으로 새롭게 추가된 살충제 성분인 terbufos, phorate, fluxametamide가 2022년 잔류농약 부적합건수에서 2-4순위를 차지하는 것으로 분석되었는데(Table 10), 이는 비슷한 시기인 인천보건환경연구원의 유통 농산물에서도 새롭게 추가된 항목인 fluxametamide (6회)와 terbufos (2회)가 부적합 성분으로 검출되어 유사한 결과를 보였다(Park et al., 2022b). 특히, 2021년 fluxametamide의 경우, 3개월 동안 7회의 부적합을 보였으며, 그 중 PLS 적용 부적합은 6건이었다(Table 10). fluxametamide는 GABA-gated chloride channel 작용을 저해하여 신경교란을 일으켜 해충을 치사에 이르게 하는 isoxazoline계 살충제로 절지동물에 대한 높은 표적부위 선택성을 보이며 포유류에게는 안전한 약제로 보고된 바 있다(Asahi et al., 2018). 이 같은 특성으로 인해 기존의 약제에 저항성이 높아진 해충 방제에 fluxametamide가 광범위하게 사용됨에 따라 미등록 작물에도 살포하여 부적합으로 판정된 것으로 사료된다. terbufos와 phorate는 해충의 신경전달에 관여하는 acetylcholinesterase의 기능을 억제하는 기작을 통해 방제효과를 나타내는 유기인계 살충제로 세계보건기구(WHO)의 농약 독성분류 기준에 따르면 Ia 등급(Extremely hazardous, 맹독성)으로 분류되어 있다(WHO, 2020). 특히, Phorate는 미국의 환경보호청(The Environmental Protection Agency, EPA)에서 1990년 부터 사용을 제한하고 있다(Devine and Furlong, 2007). 그러나 우리나라에서는 엇갈이 배추나 취나물 등의 농작물에 terbufos 0.01~1.5 mg/kg, phorate는 0.05~3.0 mg/kg의 잔류허용기준이 설정되어 사용되고 있다(MFDS, 2023c). 이처럼 2021년 10월 중점검사항목 조정 시행에 따라 본 연구에서 새롭게 추가된 항목들의 검출 및 부적합 발생빈도가 높아진 만큼 이들 농약성분들의 관리를 위해서는 재배농가와 농업인을 대상으로 허가된 농약을 허용된 사용량에 맞게 사용할 수 있도록 적극적인 홍보와 교육이 필요하다고 생각된다. 또한, 농업현장에서 실제 사용하는 농약성분을 검사항목에 적극 반영함으로써 효율적인 잔류농약 시험검사 체계를 구축하는 것이 매우 중요함을 알 수 있다.
잔류농약 위해성 평가
2020년부터 2022년까지 광주지역 유통 농산물 중에서, 농약 잔류허용기준치를 초과한 부적합 농산물을 소비자가 섭취하였을 경우를 가정하여 그 위해성을 알아보기 위해 위해 성 평가를 실시하였다. 2020년 부적합 농산물을 대상으로 진행한 위해도 평가 결과, 봄동에서 검출된 chlorothalonil이 16.7%로 가장 높았으며, 위해지수가 0.0-8.5% 51건으로 나타났다(Table 11). 2021년 부적합 농산물에서는 대파에서 검출된 phorate가 43.3%로 가장 높은 위해지수를 나타냈으며, 위해지수가 0.0-9.5% 90건으로 확인되었다(Table 12). 2022년 부적합 농산물의 위해도 평가에서는 엇갈이배추의 diazinon이 15.8%로 가장 높은 위해지수를 보였으며, 깻잎의 cadusafos가 위해지수 11.2%로 그 다음이었으며, 위해지수가 0.0-9.3% 132건으로 분석되었다(Table 13). 보리잎은 2020, 2021년 식품섭취량이 조사되지 않아 위해지수를 평가하지 못했다. 식품의약품안전처 인체적용제품 위해성평가공통지침서에 따르면, 농약과 같이 의도적으로 사용되는 물질에 대해서는 일일섭취허용량(ADI)의 개념 을 적용하여, 위해지수(HI)를 산출하며, 위해지수가 100%을 넘을 경우 위해하다고 판단할 수 있다고 명시되어 있다(MFDS, 2023a). 따라서, 본 연구에서 분석한 광주지역 부적합 유통 농산물에 대한 위해지수는 모두 100% 미만이기 때문에 식품의약품안전처 기준에는 안전하다고 할 수 있다. 그러나, 위해지수 기준값이 낮게 설정된 FAO/WHO에서는 위해지수가 10% 미만일 경우 위험성을 걱정할 필요가 없지만 10% 초과하면 정밀조사와 철저한 법적 규제가 필요하며, 30% 수준에 도달하게 되면 위험경고를 해야 하는 것으로 보고 있다(Lee and Lee, 1997). 엽채류를 대상으로 다양한 세척 방법에 따른 잔류농약 제거 효과를 분석한 연구에 따르면, 엽채류를 흐르는 물에 세척하는 과정에서 약 77.0%의 잔류농약이 제거되며 끓이기를 통해서는 약 59.5%의 잔류농약을 감소시킬 수 있다고 보고된 바 있다(Yang et al., 2022). 따라서, 농산물 중 잔류농약은 세척과 조리 등의 가공과정을 통하여 상당 부분이 제거되므로 실제 섭취하는 잔류농약에 대한 위해도는 더욱 낮아질 것으로 판단된다. 다만, 소비자의 연령이나 식습관 등에 따라 농산물 섭취량이 상이할 수 있으므로 농산물 전반에 걸친 잔류농약에 대한 지속적인 모니터링과 체계적인 위해성 평가가 요구된다.
Acknowledgments
이 논문은 광주광역시 보건환경연구원의 2023년 연구사업의 지원을 받아 수행되었습니다.
이해상충관계
저자는 이해상충관계가 없음을 선언합니다.
References
-
Asahi M, Kobayashi M, Kagami T, Nakahira K, Furukawa Y, et al., 2018. Fluxametamide: A novel isoxazoline insecticide that acts via distinctive antagonism of insect ligand-gated chloride channels. Pestic Biochem Physiol. 151:67-72.
[https://doi.org/10.1016/j.pestbp.2018.02.002]
-
Chung SJ, Kim HY, Kim JH, Yeom MS, Cho JH, et al., 2014. Monitoring of pesticide residues and risk assessment in some fruits on the market in Incheon, Korea. Korean J Environ Agric. 33(2):111-120. (In Korean)
[https://doi.org/10.5338/KJEA.2014.33.2.111]
-
Darby WJ, 1964. Pesticides: a contribution to agriculture and nutrition. Am J Public Health. 54(Suppl_1):18-23.
[https://doi.org/10.2105/AJPH.54.Suppl_1.18]
-
Devine GJ, Furlong MJ, 2007. Insecticide use: Contexts and ecological consequences. Agric Human Values. 24:281-306.
[https://doi.org/10.1007/s10460-007-9067-z]
- Faske TR, Hurd K, 2015. Sensitivity of meloidogyne incognita and rotylenchulus reniformis to fluopyram. J Nematol. 47(4):316-321.
-
Han W, Tian Y, Shen X, 2018. Human exposure to neonicotinoid insecticides and the evaluation of their potential toxicity: an overview. Chemosphere. 192:59-65.
[https://doi.org/10.1016/j.chemosphere.2017.10.149]
- Health and Environment Research Institute of Gwangju Metropolitan city (GHERI), 2020. 2019 Annual report on safety monitoring of agricultural and fishery products. Gwangju, Korea. pp. 121-122. (In Korean)
-
Hwang EJ, Park JE, Do JA, Chung HW, Chang HR, 2017. Residual dissipation based on crop commodities classification of boscalid and spinetoram on crown daisy and sweet pepper under green houses. Korean J Environ Agric. 36(3):184-192. (In Korean)
[https://doi.org/10.5338/KJEA.2017.36.3.29]
-
Kalyabina VP, Esimbekova EN, Kopylova KV, Kratasyuk VA, 2021. Pesticides: formulants, distribution pathways and effects on human health–a review. Toxicol Rep. 8:1179-1192.
[https://doi.org/10.1016/j.toxrep.2021.06.004]
-
Kim AR, Kim KC, Moon S, Kim HT, Lee CH, et al., 2022a. Analysis of pesticide residues in frozen fruits and vegetables. J. Food Hyg. Saf. 37(2):69-79. (In Korean)
[https://doi.org/10.13103/JFHS.2022.37.2.69]
- Kim CK, Oh SA, Choi SS, Kim JG, Lee JK, et al., 2022b. Monitoring of residual pesticides in fresh-cut produce in Gangseo, Seoul. Korean J. Food Sci. Technol. 54(2):218- 223. (In Korean)
-
Kim DK, Kim SH, Kim SH, Choi JS, Kim HJ, et al., 2022c. A Research on the residual pesticide content of dried agricultural products from Ulsan. J. Food Hyg. Saf. 37(4):238-248. (In Korean)
[https://doi.org/10.13103/JFHS.2022.37.4.238]
-
Kim EJ, Jeong JH, Park SH, Gwon WG, Jeong JY, et al., 2023. A survey on pesticide residues in peel and pulp of fruits collected from markets in Busan. Korean J. Pestic. Sci. 27(3):163-178. (In Korean)
[https://doi.org/10.7585/kjps.2023.27.3.163]
- Korea Health Industry Development Institute (KHIDI), 2021. National nutrition statistics. Cheongju, Korea. https://www.khidi.or.kr/kps/dhraStat/result2?menuId=MENU01653&gubun=sex&year=2020, . (Accessed July. 12. 2023)
- Korea Health Industry Development Institute (KHIDI), 2022. National nutrition statistics. Cheongju, Korea. https://www.khidi.or.kr/kps/dhraStat/result2?menuId=MENU01653&gubun=sex&year=2021, . (Accessed Dec. 1. 2023)
- Korean Statistical Information Service (KOSIS), 2021. Status of the average weight distribution by gender and age by city. http://kosis.kr/statHtml/statHtml.do?orgId=350&tblId=DT_35007_N132, (Accessed July. 12. 2023)
- Lee MG, Lee SR, 1997. Reduction factors and risk assessment of organophosphorus pesticides in Korean foods. Korean J. Food Sci. Technol. 29(2):240-248. (In Korean)
- Ministry of Food and Drug Safety (MFDS), 2019. Ministry of Food and Drug Safety Notification, 8th General test method. Cheongju, Korea. pp. 325-327. (In Korean)
- Ministry of Food and Drug Safety (MFDS), 2022. Korea Food Code. Cheongju, Korea. pp. 329-377. (In Korean)
- Ministry of Food and Drug Safety (MFDS), 2023a. Common Guidelines for Risk Assessment of Human Produts. Cheongju, Korea. https://www.mfds.go.kr/brd/m_210/view.do?seq=14364, (Accessed July. 12. 2023)
- Ministry of Food and Drug Safety (MFDS), 2023b. Pesticides and veterinary drugs information, https://residue.foodsafetykorea.go.kr, (Acessed July. 12. 2023)
- Ministry of Food and Drug Safety (MFDS), 2023c. Standards and specifications of food, https://www.mfds.go.kr/brd/m_211/view.do?seq=14797&srchFr=&srchTo=&srchWord=&srchTp=&itm_seq_1=0&itm_seq_2=0&multi_itm_seq=0&company_cd=&company_nm=&page=2, (Accessed Jan. 7. 2024)
- Nam HJ, Kwak YJ, Kim CG, Han YS, Oh SH, et al., 2007. Residual patterns of pesticides on vegetables during drying process. J. Food Hyg Saf. 22(4):300-305. (In Korean)
- National Institute of Food and Drug Safety Evaluation (NIFDS), 2023. Handbook for the pesticide residue analytical methods of food code. 6th ed. Cheongju, Korea. pp.213-224. (In Korean)
-
Park BK, Jung SH, Kwon SH, Ye EY, Lee HJ, et al., 2020. Monitoring and risk assessment of pesticide residues on stalk and stem vegetables marketed in Incheon metropolitan area. J. Food Hyg. Saf. 35(4):365-374. (In Korean)
[https://doi.org/10.13103/JFHS.2020.35.4.365]
-
Park BK, Jung SH, Kwon SH, Kim SH, Yeo EY, et al., 2022a. Health risk associated with pesticide residues in vegetables from Incheon region of Korea. Environ Sci Pollut Res Int. 29(43):65860-65872.
[https://doi.org/10.1007/s11356-022-20481-x]
-
Park BK, Kwon SH, Yeom MS, Han SY, Kang MJ, et al., 2022b A safety survey of pesticide residues on agricultural products marketed in Incheon from 2019 to 2021. J. Food Hyg. Saf. 37(4):249-259. (In Korean)
[https://doi.org/10.13103/JFHS.2022.37.4.249]
-
Park EJ, Lee JH, Kim TH, Kim JE, 2009. Residual patterns of strobilurin fungicides in Korean melon under plastic film house condition. Korean J Environ Agric. 28(3):281-288. (In Korean)
[https://doi.org/10.5338/KJEA.2009.28.3.281]
-
Park SH, Kim NR, Kim SM, 2019. Efficacy of nematicides against root lesion nematode (Pratylenchus spp.) and their effect on the yield in radish. Korean J. Pestic. Sci. 23(2):96-101. (In Korean)
[https://doi.org/10.7585/kjps.2019.23.2.96]
-
Song SH, Kim KY, Kim YS, Ryu KS, Kang MS, et al., 2021. Comparative analysis of pesticide residues in agricultural products in circulation in Gyeonggi-do before and after positive list system enforcement. J. Food Hyg. Saf. 36(3): 239-247. (In Korean)
[https://doi.org/10.13103/JFHS.2021.36.3.239]
- World Health Organization (WHO), 2020. WHO recommended classification of pesticides by hazard and guidelines to classification, 2019 edition. Geneva, Swiss.
-
Yang SJ, Mun SJ, Kim HJ, Han SJ, Kim DW, et al., 2022. Effectiveness of different washing strategies on pesticide residue removal: the first comparative study on leafy vegetables. Foods. 11(18):2916.
[https://doi.org/10.3390/foods11182916]
-
Yang YS, Gang GR, Lee SM, Kim SY, Lee MG, et al., 2017. Survey on pesticide residues and risk assessment of agricultural products from wholesale market in gwangju (2014~2016). Korean J. Pestic. Sci. 21(4):341-354. (In Korean)
[https://doi.org/10.7585/kjps.2017.21.4.341]
-
Yeo EY, Jung SH, Jang JS, Kwon SH, Park BK, et al., 2021. Monitoring of pesticide residues on herbs and spices in the Incheon metropolitan area. J. Food Hyg. Saf. 36(1):60-67. (In Korean)
[https://doi.org/10.13103/JFHS.2021.36.1.60]
-
Yi YJ, Joung HJ, Kum JY, Hwang IS, Kim MS, 2020. Pesticide residues in vegetables and risk assessment for consumers in Korea during 2010-2014. Food Addit Contam Part A. 37(8):1300-1313.
[https://doi.org/10.1080/19440049.2020.1769198]
Soyoung Lim, Public Health & Environment Research Institute of Gwangju, Health researcher, https://orcid.org/0009-0007-3368-7987
Sujin Mun, Gwangju Metropolitan City Hall, Health researcher
Davin Lee, Public Health & Environment Research Institute of Gwangju, Health researcher
Yongshik Yang, Public Health & Environment Research Institute of Gwangju, Health researcher
Yeo Kyung Kim, Gwangju Metropolitan City Hall, Health researcher
Hye Jin Kim, Gwangju Metropolitan City Hall, Health researcher
Hye Jin Jeong, Public Health & Environment Research Institute of Gwangju, Health researcher
Jinyeong Kim, Public Health & Environment Research Institute of Gwangju, Health researcher
Su Jung Park, Public Health & Environment Research Institute of Gwangju, Health researcher
Hye Young Kee, Public Health & Environment Research Institute of Gwangju, Manager
Hyang Hee Lee, Public Health & Environment Research Institute of Gwangju, Health researcher
Jeonghee Park, Public Health & Environment Research Institute of Gwangju, Health researcher
Hye Min Park, Public Health & Environment Research Institute of Gwangju, Health researcher
A Yoon Kim, Public Health & Environment Research Institute of Gwangju, Health researcher
Jae Rin Lee, Public Health & Environment Research Institute of Gwangju, Health researcher
Do Woo Kim, Public Health & Environment Research Institute of Gwangju, Health researcher
Yeong Seon Song, Public Health & Environment Research Institute of Gwangju, Assistant junior official
Jinjong Seo, Public Health & Environment Research Institute of Gwangju, Director
Jinhee Kim, Public Health & Environment Research Institute of Gwangju, Manager
Research design; Sujin Mun, Davin Lee, Soyoung Lim, Investigation: Yongshick Yang, Sujin Mun, Davin Lee, Yeo Kyung Kim, Hye Jin Kim, Hye Jin Jung, Soyoung Lim, Jinyeong Kim, Su Jung Park, Hyang Hee Lee, Jeonghee Park, Hye Min Park, A Yoon Kim, Jae Rin Lee, Do Woo Kim, Yeong Seon Song, Data analysis; Davin Lee, Sujin Mun, Soyoung Lim, Writing-original draft preparation; Soyoung Lim, Sujin Mun, Writing-review & editing; Jinhee Kim, Yongshik Yang, Hye Young Kee, Seojin Jong, Soyoung Lim.



